一本一直被珍藏着且罕见不为人知的紫微斗数的古籍《深谷秘訣》
2022-11-30 12:43:32 紫微斗数
书名:深谷秘訣 金军@ 著 筆寫本(黑白)
刻印方式:手抄本
大小:18.5MB
页数:上下二册
年代:不详
作者:金緻
简介:
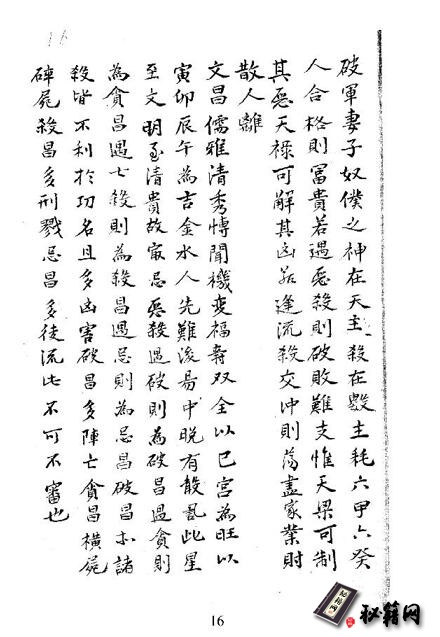
这几乎是很多人(包括斗数名家们)听都未必听说过的一本讲述紫微斗数的书籍,因为根本没有作者,也没有署名,更没有什么前言目录,所以它应该不是一本书籍,在过去,它应该是某位大师的传世笔记。
这是一个古本秘诀,过去一直被珍藏着,不知什么时候开始流落人间,但是还是知之者罕。。
为什么确定它是秘本?首先无论从价值上还是风格上,都是属于一个过去手抄资料笔记类型,当然这些都是网上没有的,你百度也百度不到。比如书中随便找出这一句:“化科,水,怕破羊空劫,文章感应之神;化忌,水,不行美事专作恶灾”;去百度一下?
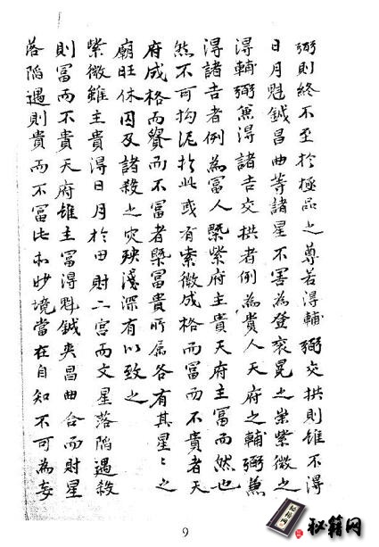
还有一些非常宝贵的星情分析,比如分析太阳星的时候,指明了“在寅地逢巨门者,午地逢文昌者皆贵”。随便一句,这些都是非常有价值的。
同时它还有一种特殊的“庙陷”方法,但此“庙陷却非彼庙陷”。而是按照星情的喜忌来分析;比如说太阴星喜欢在财宫和田宅宫,为入庙;
如果在兄弟宫和奴仆宫,那么就是陷地。学习过紫微斗数的人当然都懂了。因为太阴是财星,而财宫和田宅宫一个是财星的本宫,一个是财库,专门收藏的;所以喜欢入此两宫,而兄弟以及奴仆相当于劫财宫,让财流出和运动以及分享给其它人的,所以入此两宫则破,而不是发。但是该书却用更言简意核的方式讲述了诸星的喜忌。
所以,该书的价值还是非常之高,无法—提点,在此推荐你下载阅读它,阅读见分晓。
查看下载地址:
免责声明:本站所有信息均来源于互联网搜集,并不代表本站观点,本站不对其真实合法性负责。如有信息侵犯了您的权益,请告知,本站将立刻删除。
