《小兒關煞圖解》
2023-04-06 11:12:23 道教术法
0273-小兒關煞圖解
书名:《小兒關煞圖解》刻印方式:刻本
格式:PDF电子书
册数:一册
大小:6MB
页数:41页
年代:不详
作者:不详
简介:
小儿关煞是古代中国命理学家对刚出生的小孩命理四柱中所带的神煞的总称,古人通过在不断的研究及实践预测中发现,小孩出生后命中带有相应的关煞就会有相应的吉凶表现,命中带有小儿关煞的从出生到上大运前的这段时间都需要格外小心,于是小儿关煞逐渐的成为专业命理师,预测师论命的重要依据之一,并且流传。全文从小儿关煞简介,小儿关煞表一,小儿关煞表二,小儿关煞表三,小儿关煞及注意事项,小儿关煞化解大全等全面论述小儿关煞及化解方法。
神煞包括吉神和凶煞。源于远古时代的中国神话传说。谓能致祸福于人类。战国秦汉时的方术之士,以阴阳五行配合岁月日时,附会人事,借用部分星宿的名目,造出许多吉凶神煞,。
小儿关煞是古代命理学家对刚出生的小孩命理四柱中所带的神煞的总称,古人通过在不断的研究及实践预测中发现,小孩出生后命中带有相应的关煞就会有相应的吉凶表现,命中带有小儿关煞的从出生到上大运前的这段时间都需要格外小心,于是小儿关煞逐渐的成为专业命理师,预测师论命的重要依据之一,并且流传。小儿关煞共有16个,下面分别简略介绍:
1、雷公打脑关:指遭雷击,电触,为烧伤等;
2、铁蛇关:指遭蛇咬,金属撞伤等,尤其防三岁以前;
3、急脚关:指患小儿麻弊,内外八字脚,腿伤及残疾;
4、鬼门关:指易生疾病;
5、短命关:可望文取义;
6、白虎关:指腹血之疾,即腹部或血液类疾病;
7、继桥关:指水厄,水患;
8、夜啼关:指哭吵不停,多动症;
9、四柱关:指防六亲,尤其对父母不利,主分离;
10、血盆关:指水溺,凡水有“血盆照镜”之谓,可能是源于此而借指;
11、阎王关:可望文取义;
12、将军箭:指易遭惊吓及刺激;
13、主丘关:指灾疾,即顽固疾病;
14、坐命关:也指灾疾,重于多种疾病;
15、百日关:指小儿在一百天以内难带养;
16、落井关:指水厄、水溺。
小儿关煞表一
【四柱关】 所有修造动土、不可近前、远离为吉、俗忌坐儿童车,须小心可保平安。
【四季关】 一生多病,在四季节气前,远方勿去,以免灾殃。
【将军箭】 必伤骨肉亲,不射他人也射自己,勿入将军爷庙,入者借弓开箭,须先行制化可保平安。
【阎王关】 在未上运时,所有阴宫庙、不利近前。尤其是城隍宫、俗忌做佛事功果,切不可接近可保平安。
【急脚关】 勿行远方,勿看上梁、修造、动土、保平安。
【百日关】 生下百日内,不可去外婆家,以色灾刑。生日起时百日之日勿出门,忌远行恐惊风。避之可保平安。
【断桥关】 勿过长桥,浅舟、竹笺也勿渡,勿渡舟过竹桥。摇篮车轿小心,保平安。
【无情关】 童限少去外婆家,生父母偏呼或重拜父母保平安。
【浴盆关】 三朝忌洗身沐浴,沐浴时小心保平安。
【水火关】 要时常注意水火滚汤、厨房内勿近、水边、火边勿近可保平安。
【深水关】 勿近河边、水池边。水灾注意。犯前世父母,清明、七夕不拜,可保平安。
【金锁关】 不可拜神契,也不利带圈,必主不安,金银铁片钱带恐入口内,或生疾病夭亡。注意可保安。
【夜啼关】 夜间不可出外游玩、日落西山时见天不利、夜间不可见灯光、以免小儿多啼哭、多灾病。须避之可保平安。
小儿关煞表二
【鸡飞关】 怕看杀生,防鸡飞过头鸡啄等惊风,防之为要,以免不吉。
【落井关】 勿近井边、河边、水边、渡舟、有坑洞穴的地方去玩必险、有水厄之灾、勿近为要。
【千日关】 生下来一千日以内,勿往外婆家之神明厅,并勿坐车走远方,主惊风吐殃乳之患,勿犯以免生灾,保平安。
【雷公关】 在响雷时,勿近水井边,或铁器边,防高空跌倒,小孩喜欢爬高,爬高终失危险,勿抱高空或高处弄跳等,保平安。
【断肠关】 忌看杀猪羊之恐怖,保平安。
【取命关】须防高空险处,勿看凶亡人,新建庙宫,建蘸,中元普渡,中元坛内皆不可接近,可保平安。
【白虎关】一生多血光之灾,须防失跌,高空险处小心,尤其女命,生产时要特别小心,以免母子丧亡。出麻疹小心。现有预防针种,多注意可保平安。
【铁蛇关】 马路须小心谨慎,不可接近,以免危险,出疹痘小心,现有预防针可保平安。
小儿关煞表三
【和尚关】勿入齌坛、休入丧孝家、勿入僧寺庙见和尚,如不注意者,灾疾难免一生怕犯麻衣煞,须多注意为吉,随母入庙行香多惊。须避之,保平安。
【鬼门关】 不可远行,所有阴宫庙,勿入为吉,以免灾刑,同时勿入凶孝家为吉。
【五鬼关】 普渡打蘸不可近前,近前会带刑、生灾疾。忌见棺木板可保安。
【短命关】 防夜吵闹、保平安。
【天狗关】 犯者天狗食日,皆不可看,出生四十日内,不利外出远行,也不可行夜路,以保一年四季平安。防血光破相灾可保平安。
【天吊关】 不利过山过河、行夜路不安、同时多有急难灾祸,须注意可保平安。
【汤火关】 要时常注意火、滚汤、油、厨房内勿近为吉。容易受伤之患、应注意可保平安。
【撞命关】 难养宜过房可保平安。
【埋儿关】 忌看出殡丧葬,保平安。
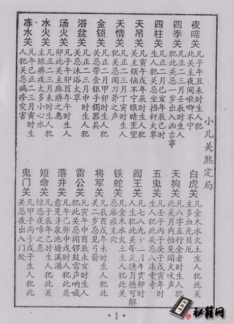
阎王关:凡七,八,九,十二月子午卯酉时生人犯此关,带天德月德可解。
四季关:凡正二三月寅辰时生人犯此关,忌一岁出入凶喜事。
五鬼关:凡壬子,庚子,丙子,戊寅年寅时生人犯此关,忌入庵堂寺院。
深水关:凡正二三月寅申时生人犯此关,忌疹病灾害。
百日关:凡正月寅已时生人犯此关,百日内忌出入门前。
白虎关:凡金木水火土全者犯此关,主多血光之灾。
天吊关:寅午戍年辰时生人犯此关,主烦恼不宁眼睛直望。
和尚关:凡子午卯酉年辰戍丑未时生人犯此关,忌见僧道尼。
落井关:午已卯申戍时生人犯此关,忌见井泉池塘。
金锁关:正二月卯时生人犯此关,忌带金银器物。
四柱关:已亥年正二月寅已时生人犯此关。
汤火关:凡子午卯酉年午时生人犯此关。
天狗关:凡八字五行全者犯此关,月内忌闻犬吠。
雷公关:凡寅午申酉未亥时生人犯此关,忌闻锣鼓雷声。
断桥关:凡正二月寅卯时生人犯此关,忌过桥汲水照影。
鸡飞关:凡辰戍丑未时生人犯此关,忌鸡对面鸣叫。
将军关:凡辰酉戍子未时生人犯此关,二岁忌流年中箭。
水火关:凡正二三月未戍时生人犯此关,主脓血疮毒太多。
急脚关:凡正二三月子亥时生人犯此关,忌跌撞惊吓之患。
浴盆关:凡正二三月申时生人犯此关,忌沐浴太早。
短命关:凡子辰年已时生人犯此关,主惊怖夜啼之患。
千日关:午寅申已亥时生人犯此关,忌三岁落高低之患。
鬼门关:凡甲子,丙子,戊子生人犯此关,忌夜出入大门。
夜啼关:凡子午丑未时生人犯此关,主夜间多啾唧不宁。
下情关:凡正二三月子寅时生人犯此关,忌闻刀斧之声。
铁蛇关:凡金木水火土全者犯此关,忌麻痘之灾。
查看下载地址:
免责声明:本站所有信息均来源于互联网搜集,并不代表本站观点,本站不对其真实合法性负责。如有信息侵犯了您的权益,请告知,本站将立刻删除。
